当前位置:
首页
>
政府信息公开
>
乡镇街道
>
汉昌街道
>
业务事项
>
涉农补贴
索 引 号:100/2025-2354200
发布机构:汉昌街道
生成日期:2025-09-17 14:42:11.0
公开日期:2025-09-17
公开方式:政府网站
公开范围:全部公开
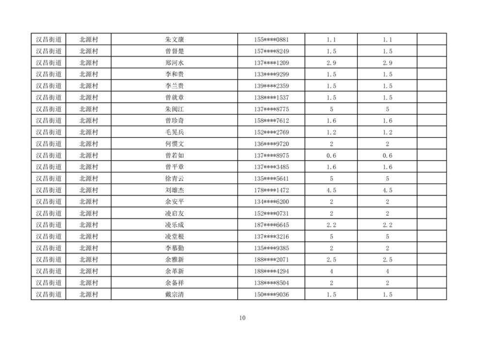
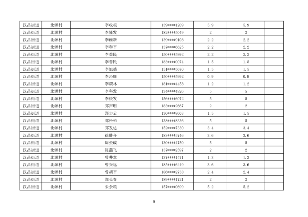
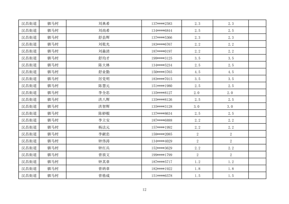
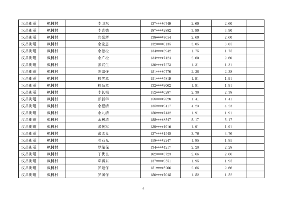
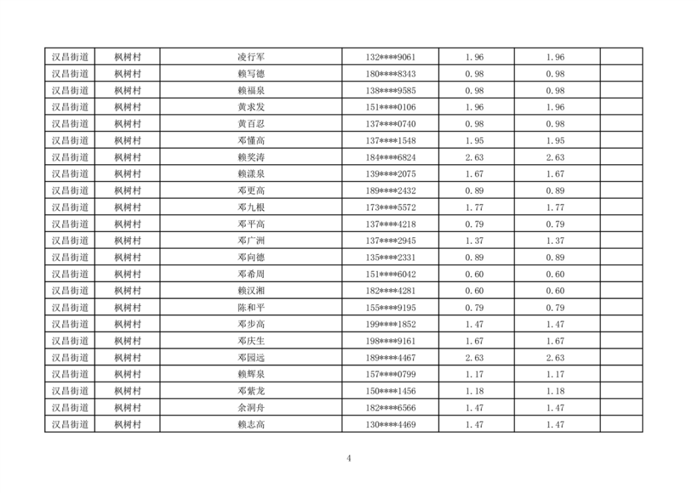
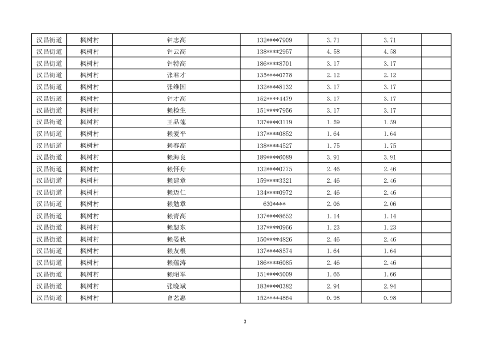
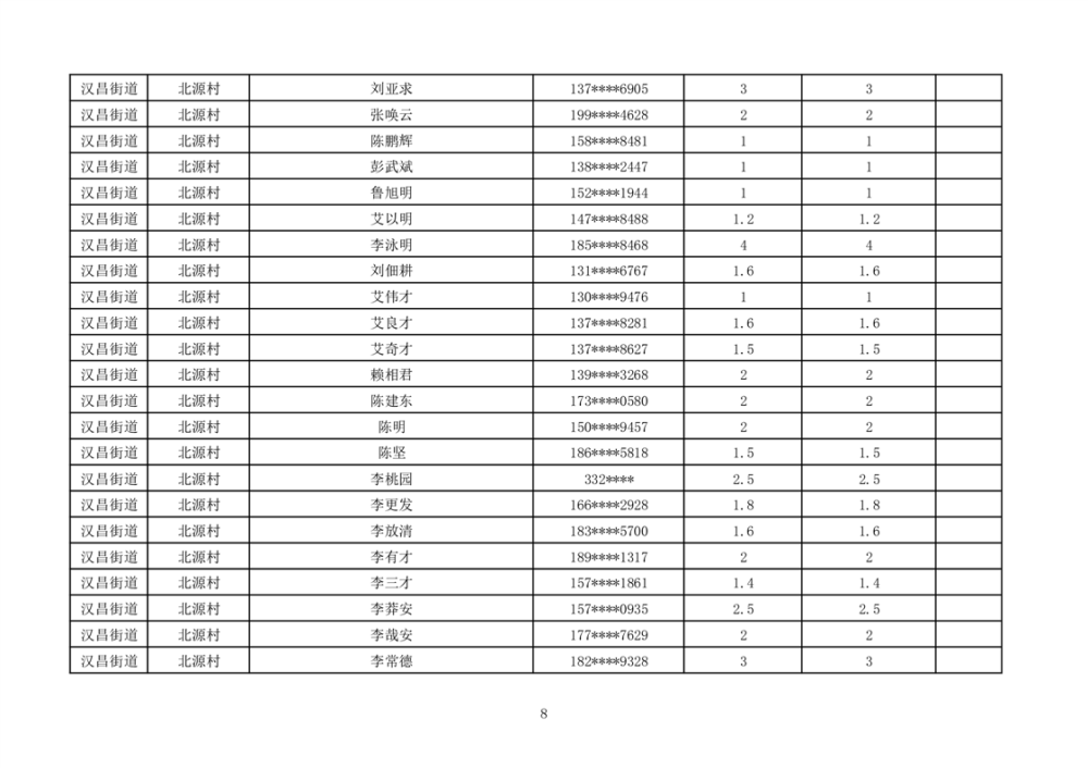
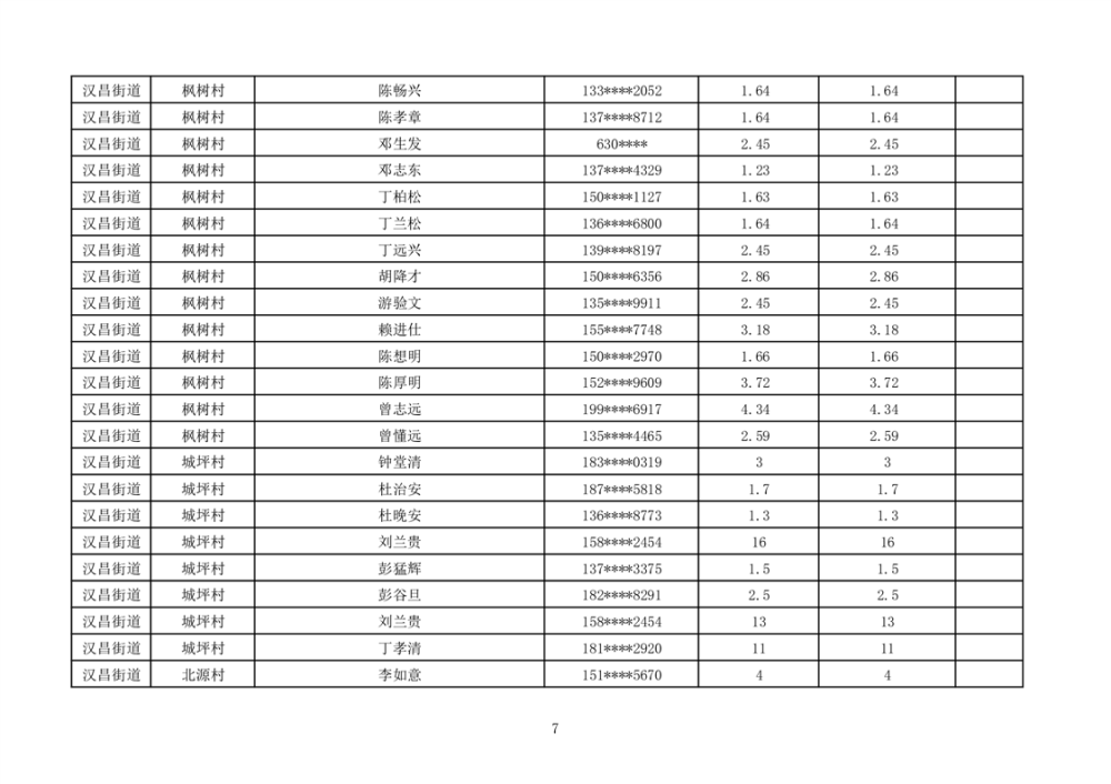
2025年汉昌街道晚稻面积公示
来源:汉昌街道
2025-09-17 14:42
|
|
|
|