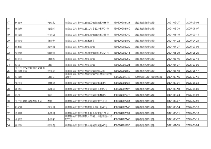
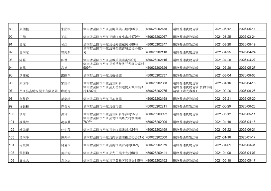
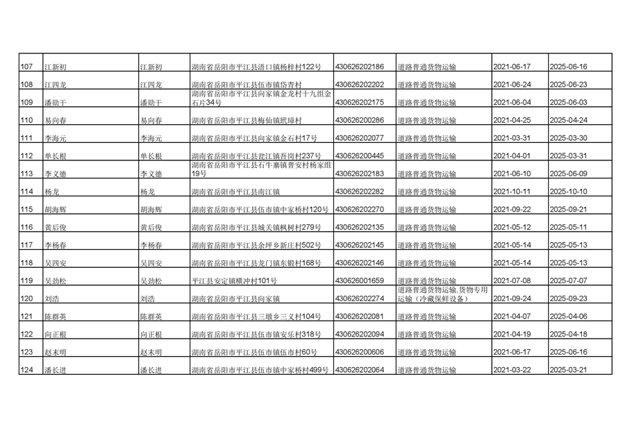
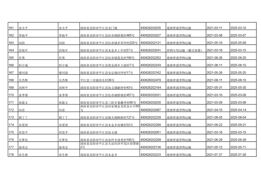
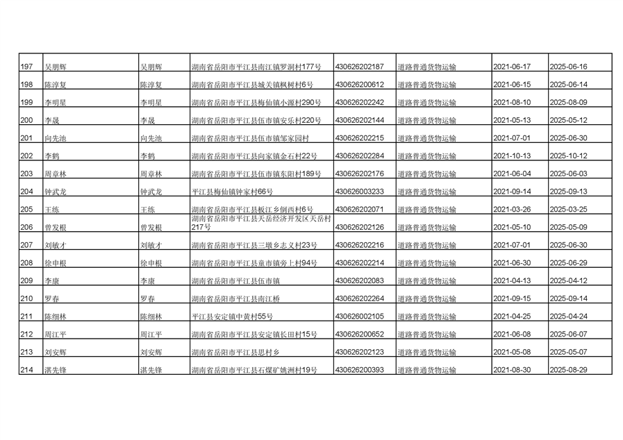
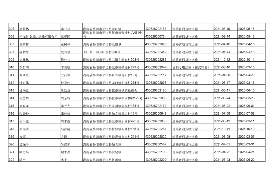
平江县交通运输局行政许可换、发证信息
详细信息
| 公开具体内容 |
|
||
基本信息
| 所属领域 | 交通运输 | ||
| 一级事项 | 道路运输 | 二级事项 | 行政许可 |
| 公开时限 | 信息形成之日起20个工作日内公开。法 律、法规对政府信息 公开期限另有规定的,从其规定。 | 公开方式 | 主动 |
| 公开依据 | 1.《道路旅客运输及客运站管理规定》; 2.《中华人民共和国道路运输条例》; 3.《交通运输部办公厅关于做好<道路旅客 运输及客运站管理规定>实施工作的通知》; 4.《中华人民共和国政府信息公开条例》; 5.《关于全面推进政务公开工作的意见》。 | ||
| 公开主体 | 平江县交通运输局 | ||
| 公开层级1 | 县级 | 公开渠道和载体 | 政府网站 |
- 详细信息
- 基本信息


















