当前位置:
首页
>
政府信息公开
>
乡镇街道
>
石牛寨镇
>
业务事项
>
涉农补贴
索 引 号:109/2025-2355899
发布机构:石牛寨镇
生成日期:2025-07-05 15:19:17.0
公开日期:2025-07-05
公开方式:政府网站
公开范围:全部公开
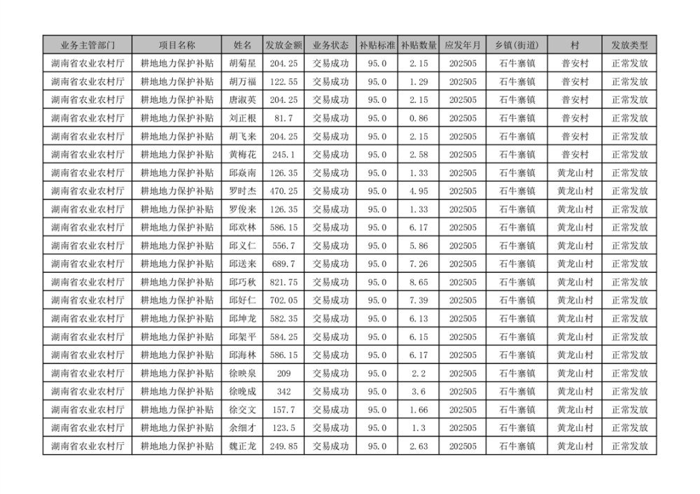
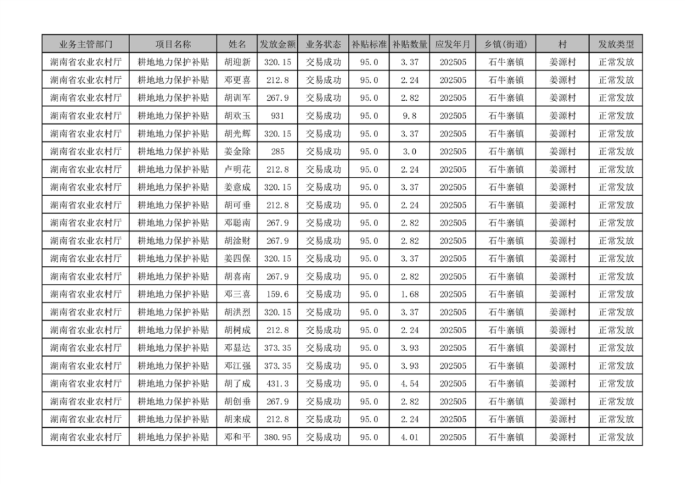
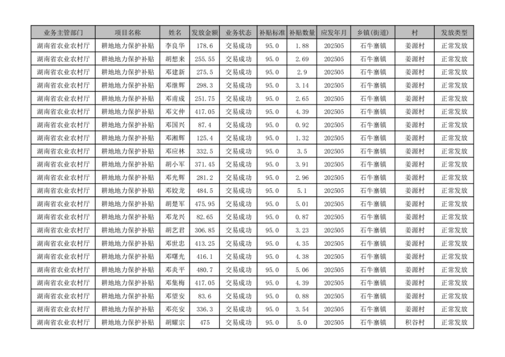
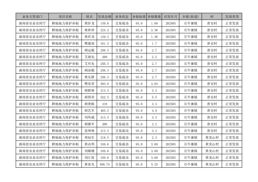
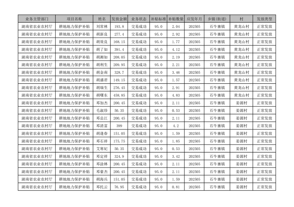
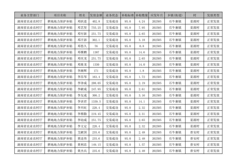
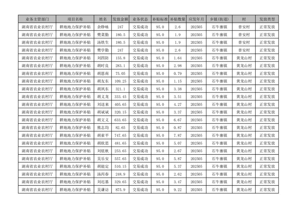
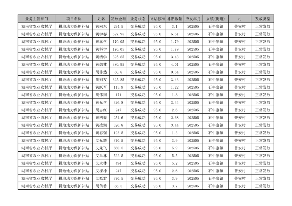
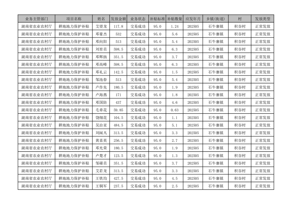
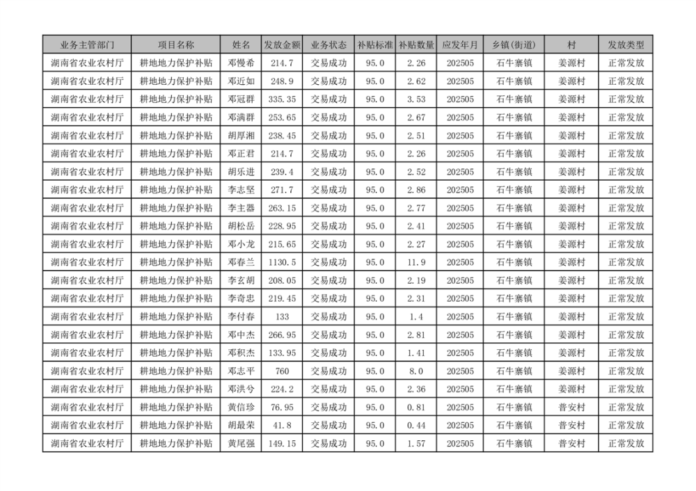
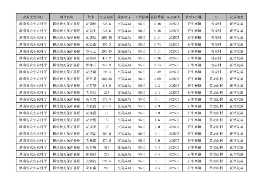
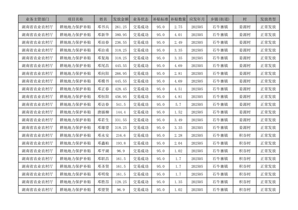
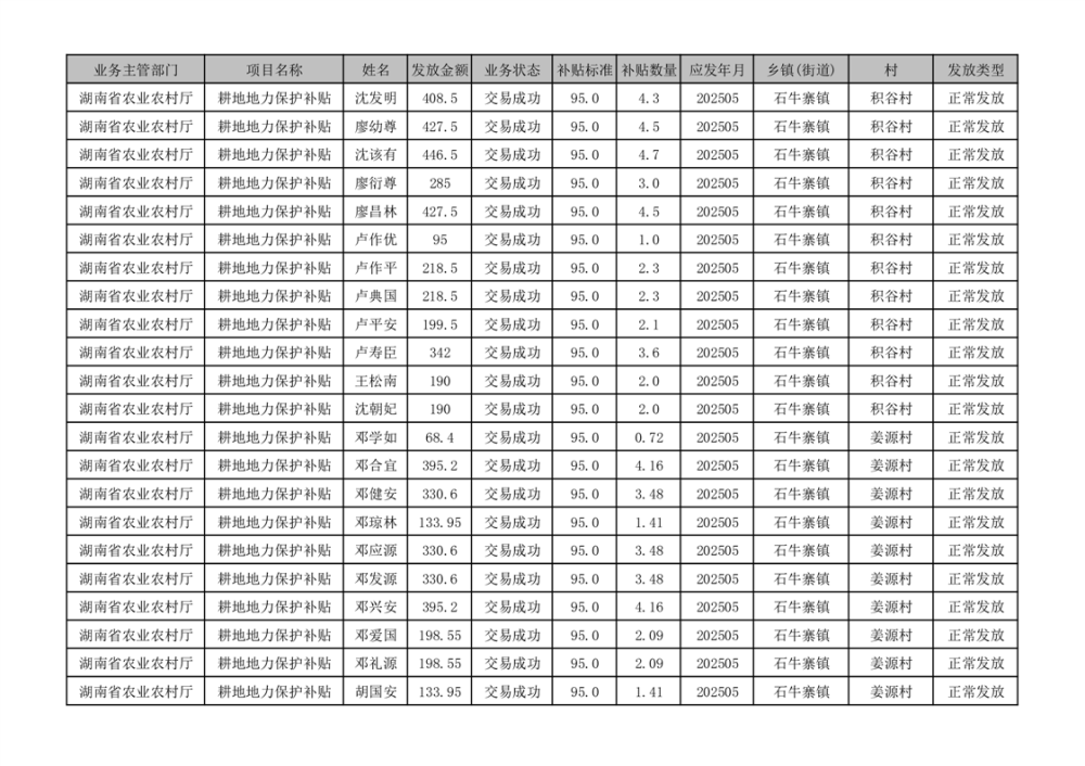
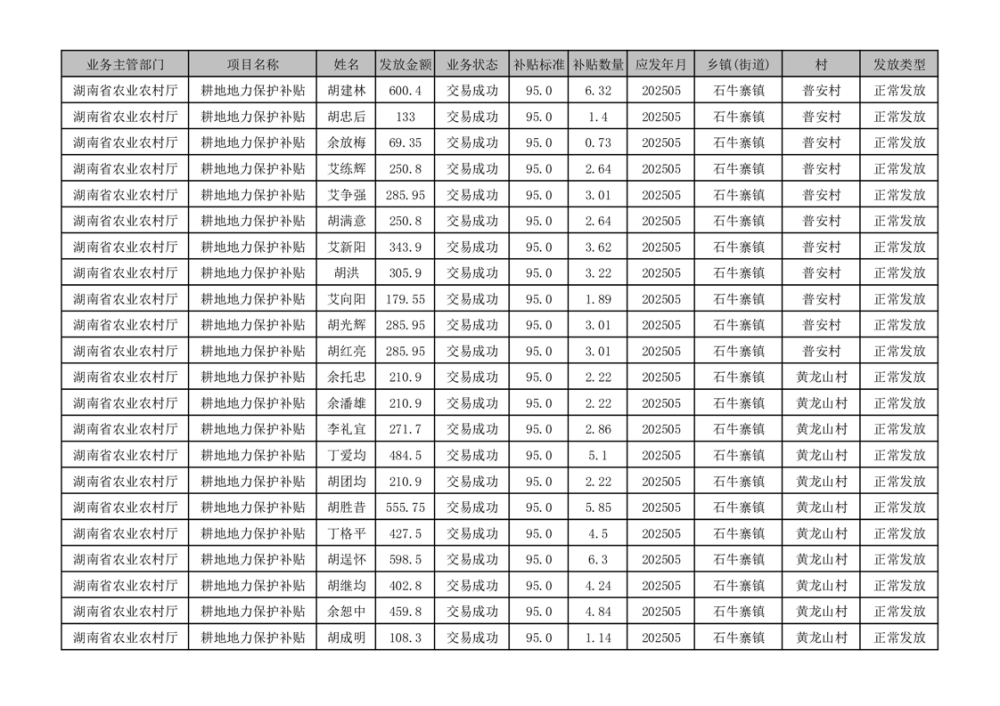
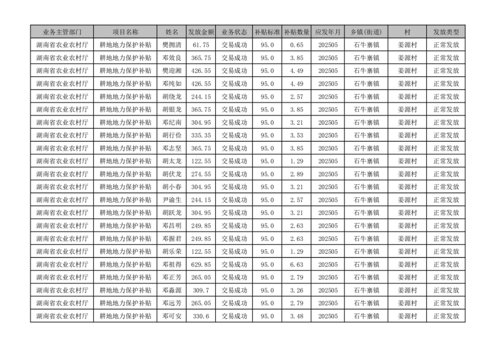
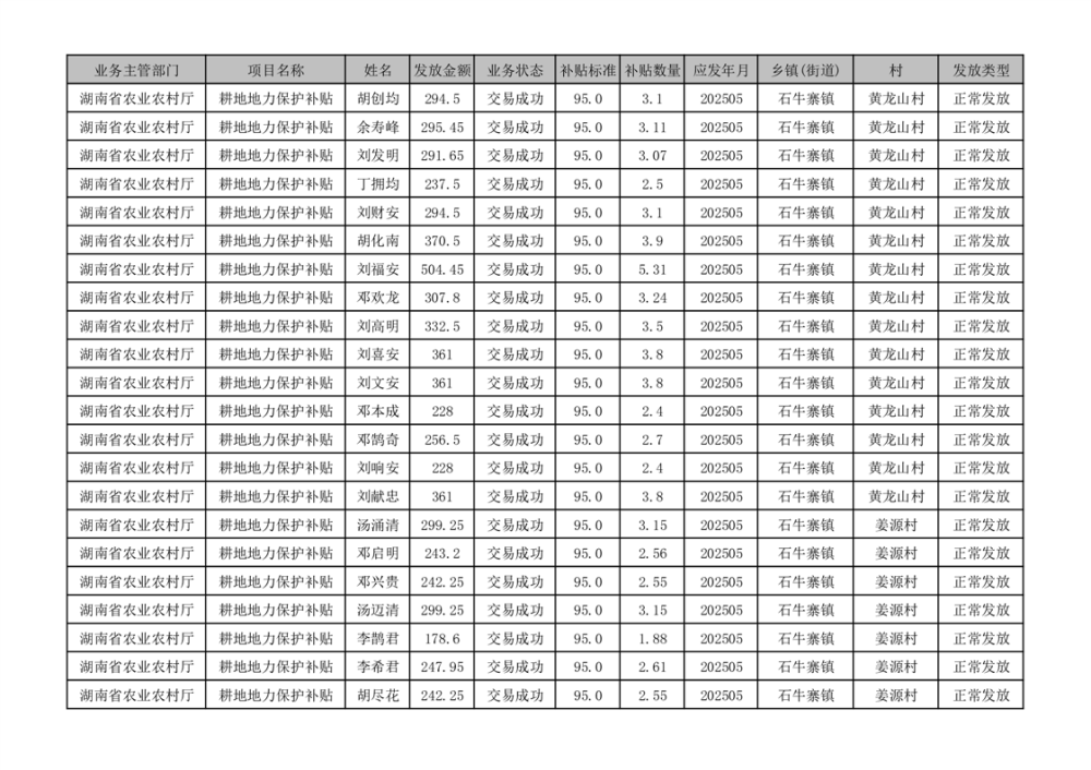
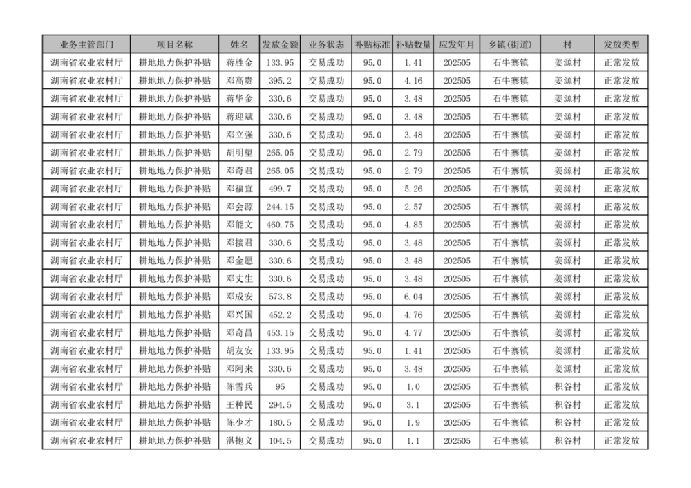
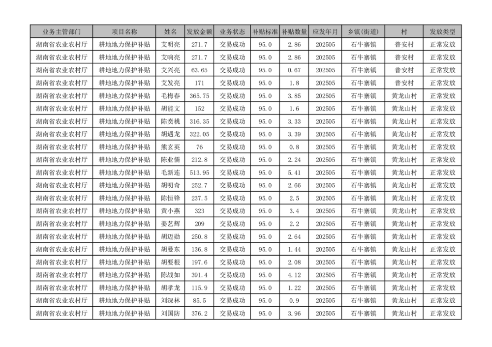
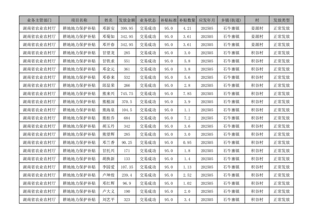
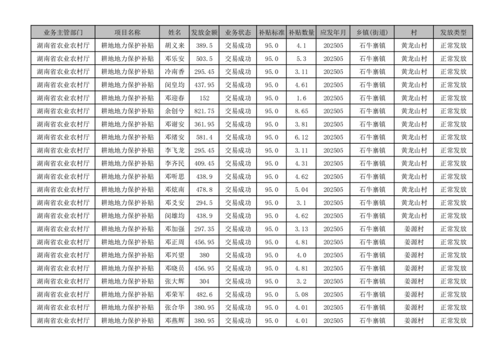
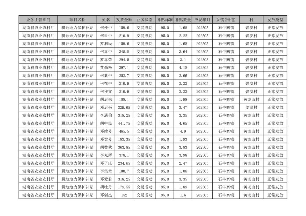
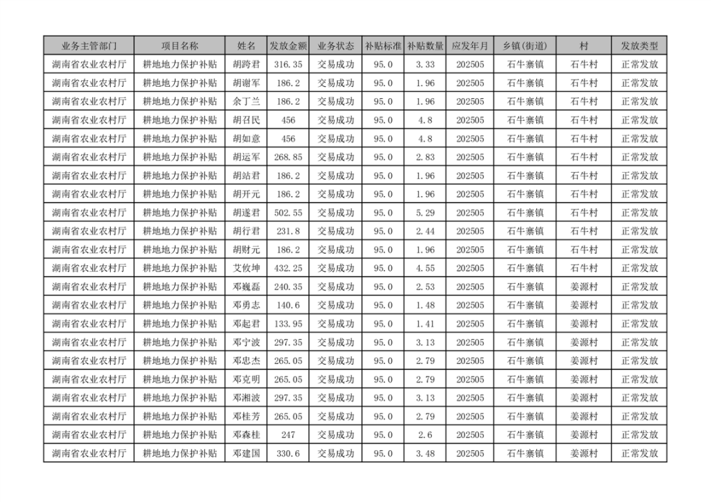
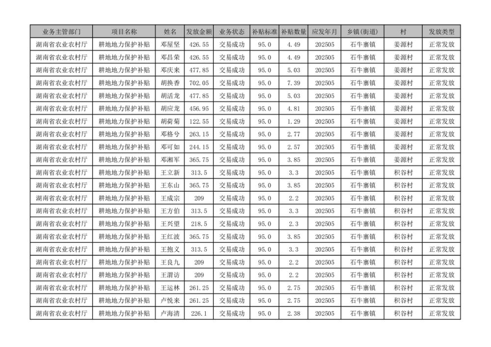
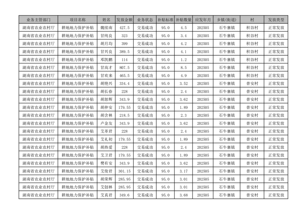
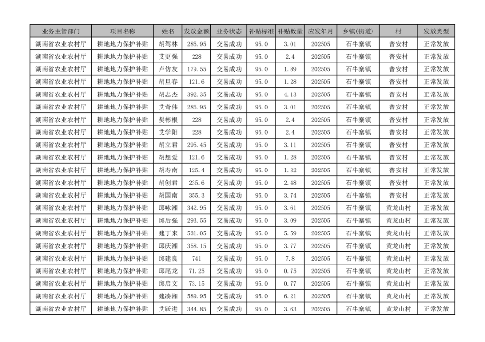
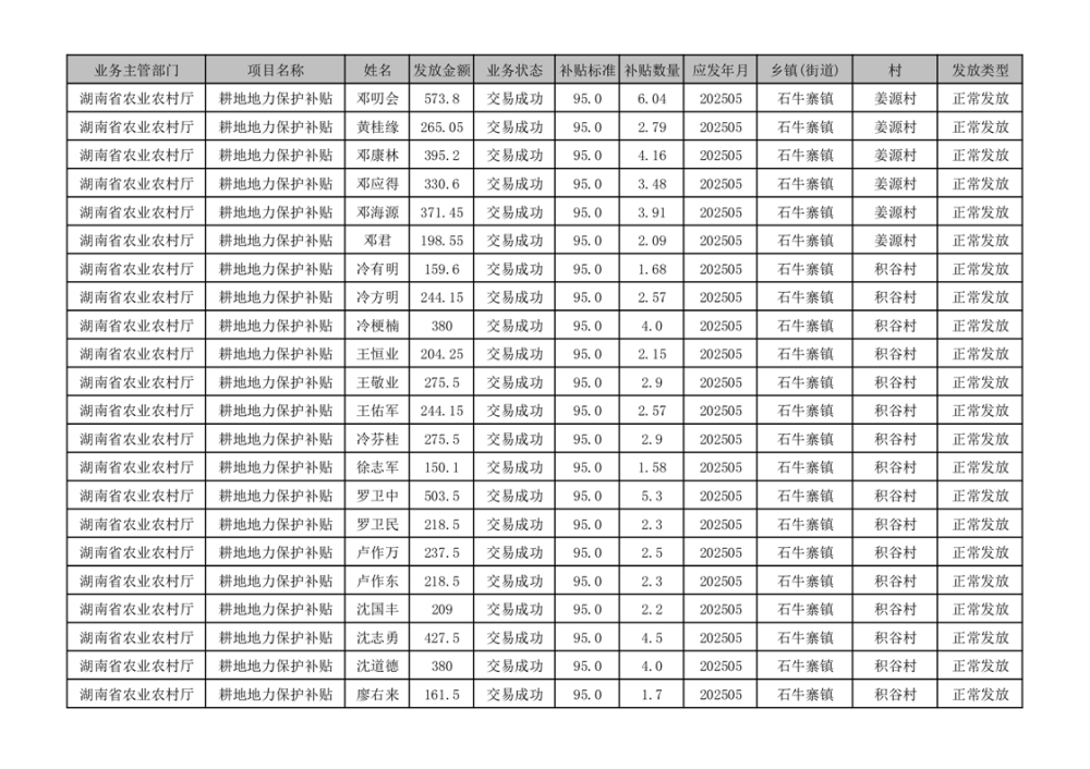
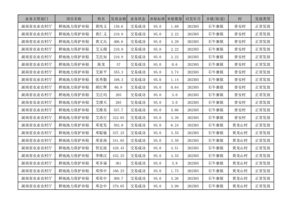
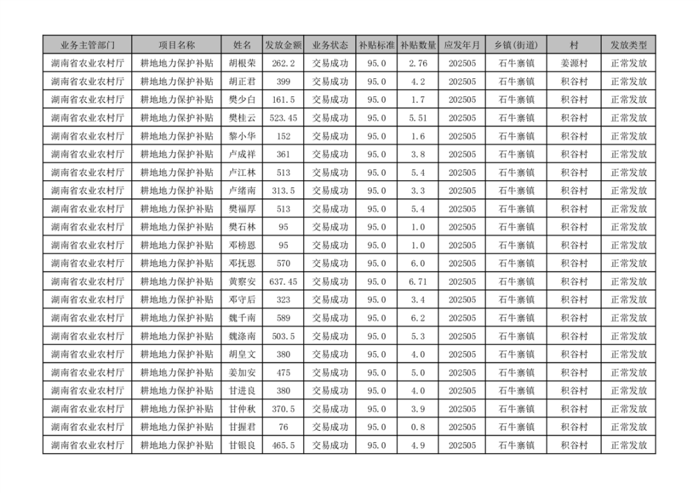
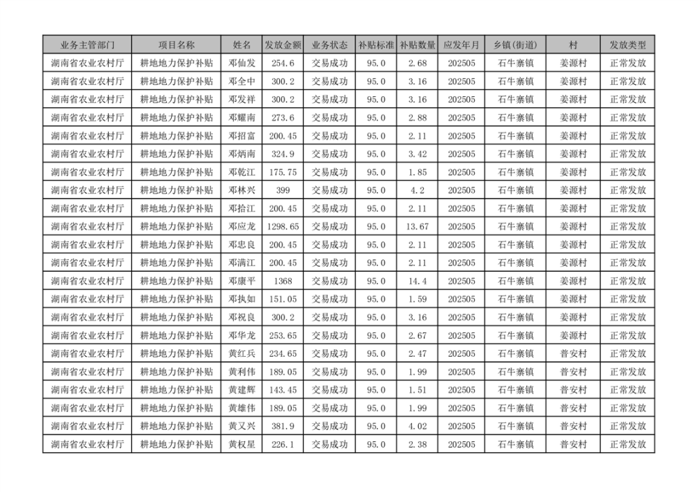
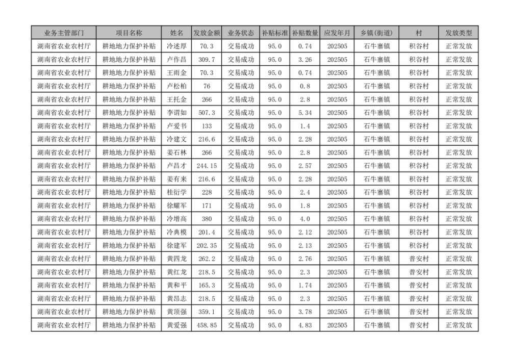
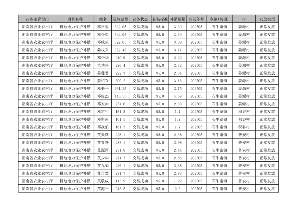
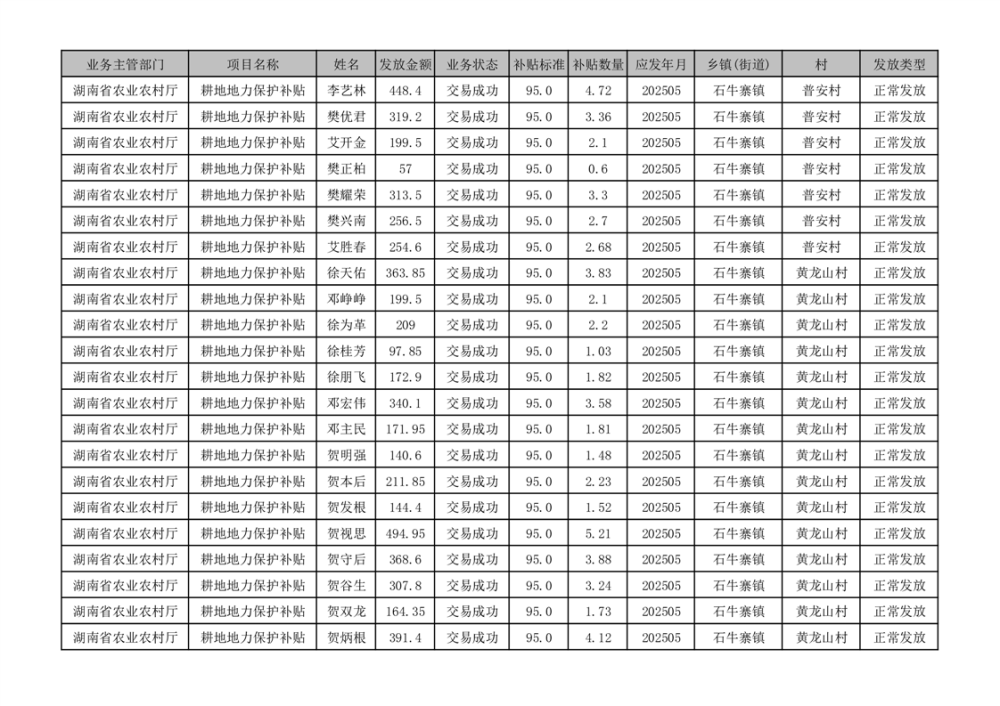
2025石牛寨镇耕地地力补贴发放2(普安、石牛、姜源、积谷、黄龙山)
来源:石牛寨镇
2025-07-05 15:19
|
|
|
|